Wprowadzenie
Jednym z najczęściej zadawanych nam w ramach szkoleń lub supportu pytań jest “Skąd wziąć dane do modelu materiałowego x?”. Odpowiedź na to pytanie wydaje się prosta – najlepiej z testów fizycznych. Zwykle jednak nie ma możliwości przeprowadzenia odpowiednich testów (ze względu na ograniczony czas, koszty itp.) i pojawia się pytanie o inne źródła tych danych. Lub da się przeprowadzić badania materiałowe, ale są wątpliwości co do sposobu ich wykonania.
Testy fizyczne
Niewątpliwie najlepszym źródłem danych do modeli materiałowych są testy fizyczne. Bywają jednak skomplikowane, czasochłonne i kosztowne. Zakres wymaganych badań zależy od wybranego modelu materiałowego. Najprostszym przypadkiem jest liniowa sprężystość izotropowa z plastycznością (model dla metali) – wystarczy arkusz z punktami opisującymi krzywą rozciągania uzyskaną z maszyny wytrzymałościowej. Abaqus/CAE posiada narzędzie “material calibration”, które na podstawie tych danych wyznacza moduł Younga, współczynnik Poissona (jeśli były też mierzone odkształcenia poprzeczne) oraz punkty z zakresu plastycznego krzywej rozciągania do definicji modelu plastyczności. Należy przy tym pamiętać, że Abaqus oczekuje danych w postaci naprężeń rzeczywistych i logarytmicznych odkształceń plastycznych. Wartości naprężeń i odkształceń można łatwo przekształcić z inżynierskich (odniesionych do początkowego przekroju próbki) na rzeczywiste (odniesione do aktualnego przekroju próbki) przy pomocy prostych wzorów (stosowalnych aż do punktu wytrzymałości na rozciąganie) lub odpowiedniej opcji narzędzia material calibration w Abaqus/CAE. Przedstawia to artykuł Converting Engineering Stress-strain to True Stress-strain in Abaqus na blogu Technia Simulation.

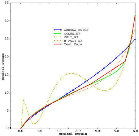
W przypadku hipersprężystości dla gum, zakres testów jest szerszy i może obejmować takie próby jak:
- jednoosiowe rozciąganie/ściskanie,
- jednoosiowe ściskanie,
- płaskie rozciąganie (odpowiada czystemu ścinaniu),
- dwuosiowe rozciąganie,
- ściskanie w warunkach skrępowanych.
Dane z tych testów w postaci:

- dla testów jednoosiowych, dwuosiowych i płaskich - naprężeń i odkształceń nominalnych (inżynierskich),
- dla testów objętościowych - zmian ciśnienia i stosunku objętości,
można wczytać bezpośrednio do programu Abaqus i wybrać odpowiedni model hipersprężystości lub użyć opcji “material evaluation” aby wyznaczyć stałe dla wybranych modeli, sprawdzić ich stabilność w podanym zakresie odkształceń i porównać ich zgodność z danymi z testów. Wskazówki dotyczące doboru modelu hipersprężystości w zależności od dostępnych danych z testów i samego wykonywania testów można znaleźć w dokumentacji i kursie “Modeling Rubber and Viscoelasticity with Abaqus”.

Abaqus posiada również szereg modeli do materiałów geotechnicznych (różne rodzaje gruntów) i betonu. Informacje o testach fizycznych dla takich materiałów znajdują się m.in. w dokumentacji oraz publikacjach NAFEMS:
- How to Model Structural Concrete using Finite Element Analysis (FEA)
- Obtaining Parameters for Geotechnical Analysis
Dostępna jest też bardziej ogólna publikacja NAFEMS Determination and Use of Material Properties for Finite Element Analysis oraz publikacja dedykowana kompozytom: How To - Obtain Material Properties for the Structural Analysis of Composites.
Niekiedy testy fizyczne komplikują się przez konieczność uwzględnienia efektów zależnych od czasu/szybkości odkształceń - niektóre modele plastyczności, lepkosprężystość, lepkoplastyczność (pełzanie metali) itp. Problematyczne są również testy zmęczeniowe (ze względu na ich czasochłonność).
Kalibracja materiałów
Nawet jeśli dysponuje się wynikami z testów fizycznych, wiele modeli materiałowych wymaga zdefiniowania pewnych stałych (często pozbawionych interpretacji fizycznej) zamiast bezpośredniego wczytania danych eksperymentalnych. Dobór tych stałych znacząco ułatwia kalibracja materiałów, czyli proces znajdowania optymalnego zestawu parametrów materiału dla modelu konstytutywnego tak, że błąd między pomiarami z testów rzeczywistego materiału a obliczoną odpowiedzią z symulacji numerycznej jest zminimalizowany. Można jej dokonać ręcznie, przy pomocy równań, arkuszy kalkulacyjnych, oprogramowania Isight (komponent Data Matching), własnych skryptów czy symulacji prostych próbek, ale SIMULIA posiada w swojej ofercie zaawansowane narzędzie specjalnie do tego przeznaczone. Jest to aplikacja Material Calibration dostępna w ramach roli Material Calibration Engineer na platformie 3DEXPERIENCE. Pozwala ona na kalibrację w 3 trybach:
- analitycznym – oparty o równania matematyczne, najszybszy, ale stosowalny tylko do materiałów hipersprężystych, hipersprężysto-lepkosprężystych i pianek (hyperfoam),
- numerycznym - oparty o modele materiałów (podprocedury) w Abaqus/Standard, wolniejszy, stosowalny do szerokiego zakresu modeli materiałów,
- opartym o modele MES – najwolniejszy, ale umożliwiający kalibrację najszerszego zakresu modeli materiałów (wszystkie z trybu numerycznego oraz dodatkowe, w tym wybrane kryteria uszkodzeń, model Concrete Damaged Plasticity, Cap Plasticity, Cap Creep oraz hipersprężystość anizotropowa). Na tym trybie skupia się nasz artykuł Zaawansowana kalibracja materiałów na platformie 3DEXPERIENCE na LinkedIn.

Aplikacja Material Calibration wspiera też podprocedury użytkownika i pozwala na użycie modeli zastępczych (sieci neuronowe).
Linki do wielu rozbudowanych przykładów kalibracji, zarówno z użyciem arkuszy kalkulacyjnych i wzorów, jak i za pomocą oprogramowania Abaqus/CAE oraz aplikacji Material Calibration, można znaleźć na stronie Material Modeling and Calibration - An Overview and Curriculum autorstwa Toda Dalrymple na portalu 3DSwym Simulia Community. Warty uwagi jest też artykuł Calibrate Hyperelastic and Viscoelastic Materials in the 3dexperience Platform - Material Calibration App na blogu Technia Simulation.
Przy okazji warto wspomnieć, że w pracy z modelami materiałów przydaje się zrozumienie opisujących je równań matematycznych. Wiedząc które stałe za co odpowiadają w danym modelu (np. które wprowadzają nieliniowość lub inaczej wpływają na krzywą bądź dodają zależność od temperatury), można łatwo modyfikować model materiału np. eliminując wybrane człony równania. Z kolei symulacje umożliwiają łatwe sprawdzenie wpływu zmienności poszczególnych parametrów na uzyskiwane w danym przypadku wyniki. Dla podstawowych modeli materiałowych w Abaqus są zresztą dostępne specjalne analizy wrażliwości.
Modelowanie wieloskalowe – homogenizacja, RVE
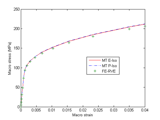
Istnieją pewne zaawansowane techniki modelowania przydatne w niektórych sytuacjach, gdy dostępne są ograniczone dane materiałowe. Dotyczy to szczególnie kompozytów, w przypadku których często stosowanym specjalnym podejściem jest modelowanie wieloskalowe. Polega ono na modelowaniu materiału nie tylko w skali makro, ale również w niższych skalach (głównie mikro). Podstawowym celem jest przeniesienie informacji uzyskanych z modeli w skali mikro na modele w skali makro, ale dane mogą też być aktualizowane w drugą stronę. Najczęstszym podejściem jest tworzenie modeli RVE (Representative Volume Element), które przedstawiają reprezentatywny fragment mikrostruktury materiału. Zaletą tego podejścia jest możliwość uwzględnienia dowolnych form wtrąceń, modelowania tkanin i innych kompozytów. Do Abaqus/CAE dostępna jest wtyczka Micromechanics (artykuł w Knowledge Base widoczny dla użytkowników komercyjnych), która znacznie ułatwia tworzenie wybranych podstawowych typów modeli RVE i obróbkę ich wyników (uśrednianie pól naprężeń/odkształceń).

Abaqus oferuje również homogenizację metodą uśrednionego pola (Mean-Field Homogenization). Wymaga ona wprowadzenia parametrów mikrostruktury kompozytu (kształt - kilka podstawowych form, udział objętościowy, współczynnik kształtu, orientacja włókien i materiał wtrąceń oraz materiał matrycy). Dostępnych jest kilka sformułowań tego typu, również dla nieliniowego zachowania składników kompozytu. Odpowiedni dobór sformułowania może zapewnić bardzo dobrą zgodność wyników z podejściem FE-RVE.

Katalogi producentów
Nawet jeśli nie dysponuje się własnymi wynikami z testów fizycznych, często wybrane właściwości materiałowe można znaleźć w katalogach producentów. Oczywiście zakładając, że korzysta się z gotowych półfabrykatów/wyrobów. Takie dane będą zawsze dokładniejsze w określonym przypadku niż te uzyskiwane sposobami opisanym w kolejnych akapitach.
Biblioteki materiałów
Niektóre programy do symulacji posiadają wbudowane biblioteki materiałów. W przypadku Abaqus biblioteki są domyślnie puste i wymagają wypełnienia danymi posiadanymi przez użytkownika. Za to fe-safe posiada rozbudowaną bibliotekę materiałów. Oczywiście zawiera ona głównie właściwości zmęczeniowe wykorzystywane przez to oprogramowanie, ale można tam znaleźć też np. dane do liniowej sprężystości. Z kolei platforma 3DEXPERIENCE posiada obszerne biblioteki materiałów (w tym tworzyw sztucznych do symulacji wtrysku), które można zainstalować razem z aplikacjami lub po ich instalacji.

Programy CAD, takie jak SolidWorks, często również zawierają gotowe biblioteki ze standardowymi materiałami. Niekiedy dostęp do baz materiałów można też dokupić. Oczywiście istnieją również internetowe bazy z otwartym dostępem jak MatWeb. Problemem gotowych bibliotek jest oczywiście ogólność dostępnych w nich danych – z reguły nie uwzględniają one danych konkretnych producentów a jedynie uśrednione wartości lub ich zakresy.
Dane z literatury
W przypadku braku danych z testów (własnych lub producenta), najczęściej sięga się po źródła literaturowe. Zwykle w postaci artykułów naukowych, w których opisane zostały testy fizyczne i/lub symulacje z wykorzystaniem danego materiału. W ten sposób można znaleźć dane dla wielu typów materiałów (nawet organicznych) i modeli materiałowych używanych w MES. Wyszukiwanie z użyciem nazwy modelu materiału i oprogramowania (np. Abaqus) pomaga znaleźć dane w formacie gotowym do użycia. Artykuły opisujące testy fizyczne często zawierają też krzywe naprężenia-odkształcenia, które można zdigitalizować z rysunków prostymi narzędziami, takimi jak darmowy i otwarty Plot Digitizer.
Artykuły naukowe mogą być też przydatne do uzupełnienia dostępnych danych z testów chociażby o zależność od temperatury w oparciu o uśrednione zależności dla zbliżonego rodzaju materiału (np. stali). Niekiedy zawierają również wzory umożliwiające przeliczanie jednych właściwości na inne równoważne lub opisują niestandardowe sposoby pozyskania trudnodostępnych właściwości w oparciu o testy i symulacje.
Rzadziej korzysta się ze źródeł książkowych, ale istnieją podręczniki, które mogą być pomocne w tym zakresie – np. Atlas of Stress and Strain Curves, Atlas of Fatigue Curves czy Atlas of Creep and Stress-Rupture Curves – wszystkie autorstwa H.E. Boyera.
Do źródeł internetowych innych niż katalogi producentów, bazy materiałów i artykuły naukowe (np. Wikipedii) należy podchodzić z odpowiednią ostrożnością, szukać informacji o pochodzeniu tych danych i zestawiać je z innymi dla uwiarygodnienia.
Szacowanie na podstawie wzorów
Niektóre właściwości materiałów można wyznaczyć na podstawie powszechnie stosowanych stałych, takich jak moduł Younga, współczynnik Poissona, granica plastyczności czy wytrzymałość na rozciąganie. Dotyczy to szczególnie stali. W ten sposób można wyznaczyć m.in. stałe modelu Johnsona-Cooka (dostępna jest wtyczka do Abaqus/CAE, która je wyznacza) czy niektóre właściwości zmęczeniowe (fe-safe posiada takie narzędzie korzystające z metody Baumela-Seegera).


Podsumowanie
Właściwości materiałów stanowią dane wejściowe do analiz MES. Do ich zdefiniowania potrzebne są więc testy fizyczne. Nie zawsze jednak trzeba je przeprowadzać samemu - często można wykorzystać źródła z gotowymi danymi. Same symulacje również mogą być pomocne w dobraniu parametrów materiałowych, ale ponieważ są to dane wejściowe, z reguły konieczne jest jakieś odniesienie do rzeczywistości. Nawet jeśli niedostępne są standardowe wyniki klasycznych prób materiałowych, można niekiedy dokonywać kalibracji w oparciu o inne informacje, takie jak rzeczywista postać deformacji/uszkodzenia czy częstotliwości i postacie drgań. Warto przyjąć rozsądne wartości początkowe do takiej ręcznej kalibracji - może w tym pomóc literatura lub liczne przykłady z dokumentacji oprogramowania Abaqus (należy jednak uważać na jednostki). Dosyć często więc wykonywane są symulacje numeryczne testów fizycznych. Warto również wspomnieć o testach modeli materiałowych na pojedynczych elementach, które mogą być bardzo przydatne do zrozumienia działania modelu.