Proces modelowania adhezji w Abaqus/Standard jest kluczowym narzędziem umożliwiającym precyzyjną symulację właściwości mechanicznych i termicznych materiałów adhezyjnych podczas ich utwardzania. W przemyśle lotniczym, motoryzacyjnym i elektronicznym kleje strukturalne odgrywają istotną rolę ze względu na swoje unikalne właściwości, takie jak odporność na korozję, wysoki stosunek wytrzymałości do wagi oraz minimalizację uszkodzeń termicznych i mechanicznych w porównaniu do metod takich jak spawanie. Proces utwardzania klejów, który zazwyczaj polega na tworzeniu wiązań chemicznych w wyniku reakcji nieodwracalnej, prowadzi do zmiany materiału z cieczy w ciało stałe. Symulacja tego procesu może pomóc w projektowaniu odpowiednich warunków utwardzania w celu redukcji naprężeń resztkowych i odkształceń.
Zdolności modelowania procesu utwardzania w Abaqus/Standard
Abaqus/Standard oferuje narzędzia umożliwiające dokładne modelowanie procesu utwardzania klejów, co pozwala na analizę złożonych zjawisk termicznych i chemicznych. Kluczowe możliwości, które można wykorzystać w symulacjach, obejmują:
- Modelowanie procesu utwardzania – symulacja utwardzania klejów poprzez uwzględnienie kinetyki reakcji chemicznych oraz procesów termicznych.
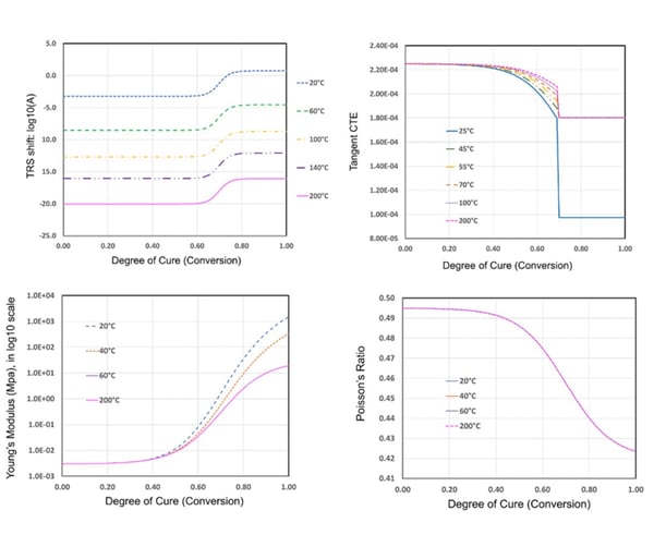
- Model termorheologicznie prosty (TRS) – uwzględnia zależności materiału lepkosprężystego od temperatury oraz stopnia utwardzenia.
- Definicja współczynnika rozszerzalności cieplnej – zastosowanie współczynnika ekspansji termicznej w zależności od temperatury i stopnia utwardzenia.
- Zależność właściwości mechanicznych od procesów termicznych i chemicznych – pełna analiza sprzężona temperatury z przemieszczeniami uwzględniająca te zależności.
Przykład testu Wattsa
Test Wattsa (Watts i Cash, 1991) służy jako walidacja procesu modelowania utwardzania klejów. Polega on na pomiarze skurczu polimeryzacyjnego materiałów klejących. W teście tym próbka w kształcie dysku jest umieszczona pomiędzy dwoma szklanymi płytkami, a na wyniki skurczu materiału wpływa zarówno reakcja chemiczna, jak i zmiany termiczne.
Podejście modelowania w Abaqus
Modelowanie testu Wattsa w Abaqus obejmuje trzy kluczowe etapy:
- Etap utwardzania – symulacja reakcji chemicznych i rozszerzalności termicznej.
- Etap chłodzenia – analiza skurczu materiału podczas ochładzania do temperatury pokojowej.
- Etap relaksacji naprężeń – quasi-statyczna analiza naprężeń po zakończeniu procesu chłodzenia.
Typy analizy
Symulacje w Abaqus są oparte na w pełni sprzężonej analizie temperatury i przemieszczeń. Tego typu analiza uwzględnia nie tylko deformacje materiału wynikające z procesu utwardzania, ale również zależności mechanicznych właściwości od zmian temperatury i procesów chemicznych. W trakcie analizy quasi-statycznej po procesie utwardzania przeprowadzana jest analiza relaksacji naprężeń w kleju.
Projekt siatki i elementy
Do modelowania testu Wattsa wykorzystywane są elementy osiowosymetryczne. Próbka kleju jest modelowana za pomocą elementów CAX4RHT, które doskonale nadają się do materiałów o niemal nieściśliwych właściwościach w stanie ciekłym. Płytki szklane, pierścień mosiężny oraz przerwa powietrzna są modelowane za pomocą elementów CAX4RT.

Materiały
Równanie Kamala opisuje kinetykę reakcji chemicznej kleju i pozwala na kontrolowanie tempa utwardzania w zależności od temperatury i stopnia utwardzenia. Ponadto model materiału lepkosprężystego, oparty na analizie DMA (Dynamiczna Analiza Mechaniczna), opisuje właściwości mechaniczne kleju w zależności od temperatury i stopnia utwardzenia.

Warunki początkowe, brzegowe i obciążenia
Początkowa temperatura całego zestawu wynosi 22°C, a początkowy stopień utwardzenia kleju to 0,0018. Zastosowane są symetryczne warunki brzegowe na osi symetrii oraz na dolnych węzłach szklanych płytek. Obciążenia termiczne są nakładane na zewnętrzne powierzchnie zestawu w celu symulacji warunków utwardzania kleju, gdzie temperatura zlewu wynosi 65°C przez 30 minut, a następnie spada do 22°C w trakcie chłodzenia.
Wyniki i omówienie
Wyniki symulacji pokazują, że gwałtowny wzrost temperatury i szybkie tempo utwardzania prowadzą do znaczącego skurczu próbki kleju, co może stanowić problem w rzeczywistych konstrukcjach, gdzie stosowane są materiały wrażliwe na temperaturę. Modele Abaqus umożliwiają jednak dokładną prognozę takich zjawisk, co pozwala na optymalizację procesów produkcyjnych.



Modelowanie procesu utwardzania w Abaqus/Standard daje możliwość precyzyjnego zrozumienia i kontrolowania właściwości mechanicznych i termicznych klejów strukturalnych, co ma kluczowe znaczenie dla ich prawidłowego zastosowania w różnych gałęziach przemysłu.